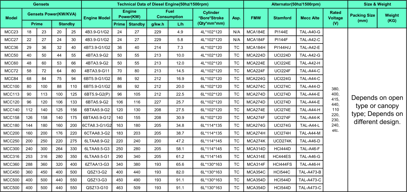
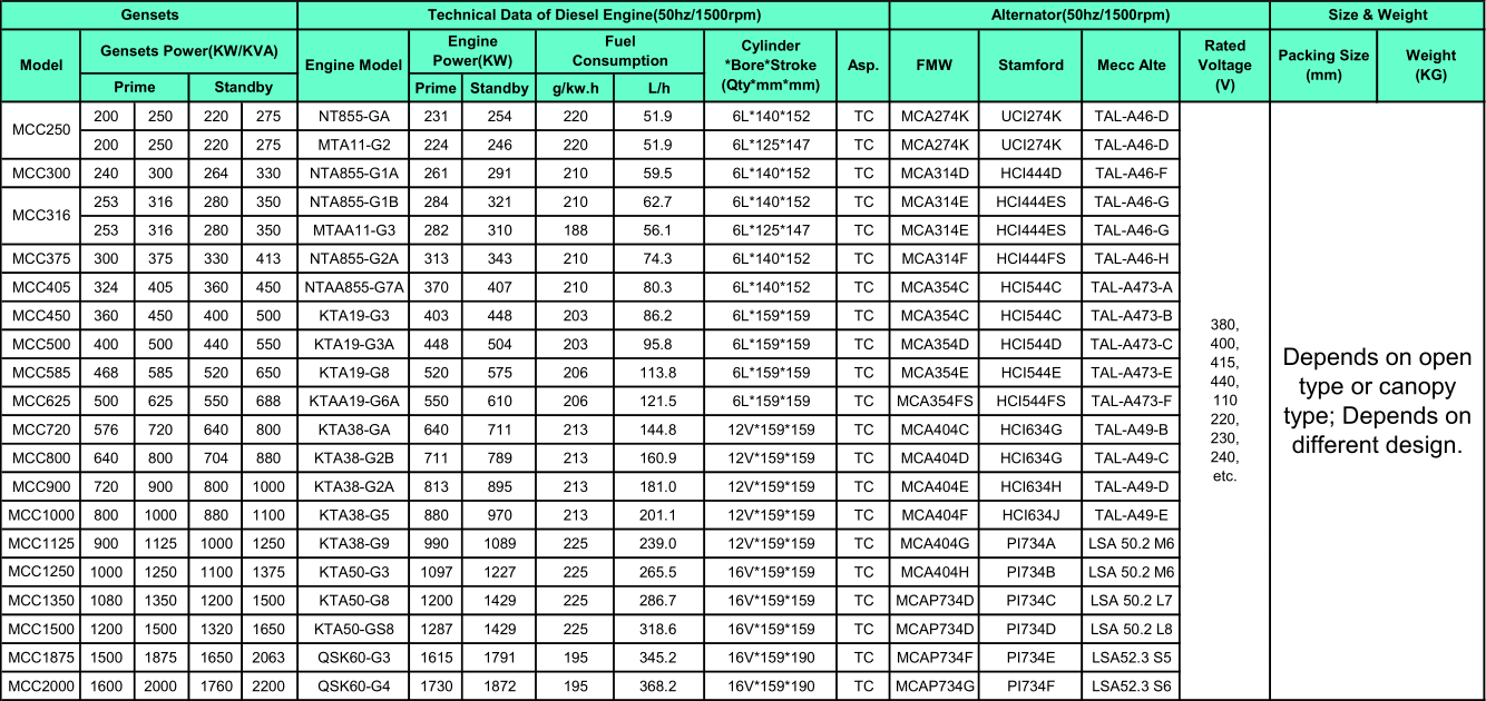
ម៉ាស៊ីនភ្លើង Cummins គឺស្ទើរតែពេញនិយមបំផុត កំណត់ម៉ាស៊ីនភ្លើង ត្រូវបានគេប្រើយ៉ាងទូលំទូលាយនៅគ្រប់ប្រភេទនៃឧស្សាហកម្មស្ថានីយថាមពល នៅជុំវិញពិភពលោក។ បណ្តាញសេវាសកលនៃម៉ាស៊ីនម៉ាស៊ូត Cummins អាច ផ្តល់ជូនអតិថិជននូវសេវាកម្មដែលអាចទុកចិត្តបាននិងមានការធានា។ ជួរអំណាចនៃ Cummins genset គឺមកពី 24kw រហូតដល់ទៅ 1800kw ។
1. Cummins ម៉ាស៊ីនទូទៅបញ្ជាក់ចម្បង
Dongfeng Cummins ម៉ាស៊ីនភ្លើង

ឈុងឈីងស៊ីម៉ិចម៉ាស៊ីនភ្លើង

2. ម៉ាស៊ីនភ្លើង Cummins Se t
លក្ខណៈពិសេសម៉ាស៊ីនភ្លើងនិងវិសាលភាពផ្គត់ផ្គង់
|
ផ្នែកស្តង់ដារ
|
ផ្នែកស្រេចចិត្ត
|
|
ម៉ាស៊ីនម៉ាស៊ូតស៊េរីស៊េរី Ricardo, Lijia និង Styer
|
ដើម Stamford, Leroy Somer និង Mecc Alte ម៉ាស៊ីនភ្លើង
|
|
ម៉ាស៊ីនភ្លើង Brushless MCA ថ្មីម៉ាក (ថ្នាក់ H, IP23, AVR)
|
ប្រព័ន្ធបញ្ជាម៉ាស៊ីនភ្លើងផ្ទេរស្វ័យប្រវត្តិ (A.T.S)
|
|
ស៊ុមមូលដ្ឋានដែកកាតព្វកិច្ចធ្ងន់ធុងប្រេង 8 ម៉ោង
|
ប្រព័ន្ធត្រួតពិនិត្យម៉ាស៊ីនភ្លើងស្របគ្នា
|
|
ធ្នឹមដែកថែប 2MM-4MM សម្រាប់ការបង្កើតម៉ាស៊ីនភ្លើង
|
ធុងឥន្ទនៈដែលមានទំហំធំជាង 8 ម៉ោង កំពុងរត់
|
|
ជក់បារីសុវត្ថិភាពដោយមានសំណាញ់ការពារ
|
កាតព្វកិច្ចធ្ងន់ 50 ℃ ស្ពាន់ធ្យូង
|
|
ស្នប់ប្រឆាំងនឹងរំញ័រកៅស៊ូកាតព្វកិច្ចធ្ងន់
|
Deepsea7320, Smartgen6110 ឬ ComAp AMF25 ឧបករណ៍បញ្ជាម៉ាស៊ីនភ្លើង
|
|
ប្រភេទធន់ធ្ងន់ប្រភេទឧស្សាហកម្មដែលមានបត់បែនមាត់
|
ម៉ាស៊ីនកំដៅទឹក / កំដៅម៉ាស៊ីន lub សម្រាប់អាកាសធាតុត្រជាក់ខ្លាំង
|
|
ថ្មដែលគ្មានការថែទាំខ្ពស់សម្រាប់ស្តង់ដាររដ្ឋ
|
អេឡិចត្រូនិចដូចជា ABB, Schneider និង Siemens
|
|
ឧបករណ៍បញ្ជាម៉ាស៊ីនភ្លើង Deepsea6020, Smartgen420 ឬ ComAp MRS11
|
គល់មាត់ស្ងួតល្អឥតខ្ចោះជាមួយ អេប៉ុងដង់ស៊ីតេខ្ពស់
|
|
សម្ពាធប្រេងទាប, ការឡើងកំដៅខ្លាំង, ការផ្ទុកលើសទម្ងន់, និងការការពាររអាក់រអួល
|
ផ្នែកពិសេសជាកូនសោដែកអ៊ីណុក, បូមបង្ហូរប្រេង, តម្រងធូលី ល
|
|
គ្រឿងអេឡិចត្រូនិស្តស្តង់ដារដូចជាខ្សែកាបចរន្តអគ្គិសនីការបញ្ជូនតចង្កៀងអុសឈប់ ឧបករណ៍។
|
ម៉ាស៊ីនបន្ថែមនិងគ្រឿងអគ្គិសនីជំនួស តម្រង, gasket, ក្បាល, AVR, rectifier
|
|
ឧបករណ៍ឧបករណ៍ដែលមានសៀវភៅដៃប្រតិបត្តិការរបស់ម៉ាស៊ីន, ម៉ាស៊ីននិងម៉ាស៊ីនភ្លើង
|
ប្រអប់សម្ភារៈឧបករណ៍ពិសេសដែលមានឧបករណ៍ជាច្រើនសម្រាប់ថែទាំ
|
4. លក្ខណៈវិនិច្ឆ័យនិងវិញ្ញាបនបត្រ

5. អត្ថប្រយោជន៍នៃម៉ាស៊ីនភ្លើងម៉ាស៊ូតរបស់យើង

① សម្ភារៈស្តង់ដារខ្ពស់និងគ្រឿងបន្លាស់
● ចាប់ពីវីសរណសិរ្សរំងាប់រំញោចអេប៉ុងខ្សែក្រវាត់រំញ័ររំញ័រ AVR ដ្យូមរង្វាស់ចង្កៀងស្រទាប់ទង់ដែកចានដែកម៉ែត្រឧបករណ៍បញ្ជាអាគុយអេអេហ្វអេ ATS និងបន្តបន្ទាប់។
② ក្រុមការងារស្រាវជ្រាវនិងអភិវឌ្ឍន៍មានបទពិសោធន៍ខ្ពស់និងមានបទពិសោធន៍
●ជាមួយនឹងក្រុមការងារស្រាវជ្រាវនិងអភិវឌ្ឍន៍ដែលមានជំនាញវិជ្ជាជីវៈខ្ពស់មិនត្រឹមតែអាចផលិត FMW ស្តង់ដារថាមពលបានទេ ម៉ាស៊ីនភ្លើងដែលមានគុណភាពអាចជឿទុកចិត្តបានក៏ប៉ុន្តែថាមពល FMW អាចបង្កើតប្រភេទផ្សេងៗនៃម៉ាស៊ីនភ្លើងដូចជាម៉ាស៊ីនភ្លើងស្ងាត់ល្អ, ស្ថានីយ៍ថាមពលកុងតឺន័រ, ម៉ាស៊ីនភ្លើងឆ្លាតវៃនេះបើយោងតាមការទាមទារតែមួយគត់របស់អតិថិជន។
③ សមិទ្ធផលគួរឱ្យទុកចិត្តនិងលក្ខណៈវិនិច្ឆ័យ
បទបញ្ជាវ៉ុល:
●ការកំណត់វ៉ុលផ្ទុកដោយឥតគិតថ្លៃ≥ (95-105)% Un
●តង់ស្យុងវ៉ុលវ៉ុលស្តង់ដារ± 1.0%
● Tr អត្រាបទបញ្ជាតង់ស្យុងវ៉ុលរដ្ឋ + + 20% / - 15%
●ពេលវេលានៃការងើបឡើងវិញវ៉ុល 1 0
●អនុបាតវ៉ុលទ័រ± 0,5%
●សមាមាត្រតង់ស្យុងត្រជាក់ / ក្តៅ - ទាប 2%
ភពញឹកញប់ / ល្បឿនកំបាត់:
●ផ្លាស់ប្តូរបន្ទុកពី 0-100%, សមាមាត្រ / ល្បឿនអនុបាត Droop ក្នុង 5% ។
●ផ្ទុកពី 25-100%, រាល់រលកទំនាញល្បឿន / ល្បឿនក្នុងល្បឿន 0,25%
កត្តានៃឥទ្ធិពលទូរគមនាគមន៍:
● TIF (MA MG1-22) ល្អជាង 50
● THF (BS EN60034) ល្អជាង 2%
លក្ខណៈវិនិច្ឆ័យ:
● ISO8528, GB / T2820
● EN12601: 2001, EN60034-22: 1997, EN60204-1: 2006
● ISO9001: ប្រព័ន្ធត្រួតពិនិត្យគុណភាពឆ្នាំ 2008
●ការធន់ទ្រាំនឹងភាពធន់ទ្រាំដែលត្រូវបានធ្វើតេស្តដោយយោងតាម GB5226.1-2002-19.3
●តង់ស្យុងស្តុងតេស្តដោយអនុលោមតាម GB7 55-2000-8.1 (ជាមួយ 1500V ដោយ 60S)
●គ្រប់ល្បែងអគ្គីសនីទាំងអស់ត្រូវបានសាកល្បងដោយយោងទៅតាម ជាមួយ GB5226.1-2002-19.6
●សន្តិសុខមេកានិចត្រូវបានសាកល្បង ជាមួយ GB / T820.8-2002-6.3
●ភស្តុតាងអគ្គីភ័យត្រូវបានធ្វើតេស្តដោយយោងតាម GB / T2820.8-20 02-6.4 / 6.5
●សំណុំម៉ាស៊ីនភ្លើងទាំងអស់ត្រូវបានត្រួតពិនិត្យយ៉ាងតឹងរឹង 25%, 50%, 75%, 100% និង 110% ផ្ទុក។